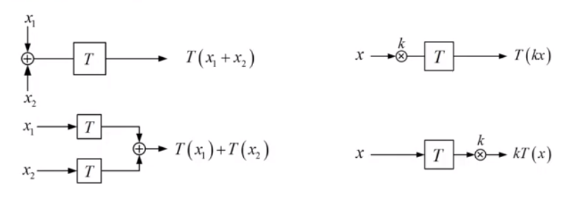
선형변환의 정의
임의의 벡터 $ \hat {a}, \hat {b} $와 스칼라 k에 대하여 변환 T가
두 가지 조건을 만족하면 선형변환이다.
Superposition and Homogeneity

$ T(\hat {a} +\hat {b}) = T(\hat {a}) + T(\hat {b}) $
$ T(k \hat {a}) = kT(\hat {a}) $
선형변환은 행렬로 표현할 수 있다.

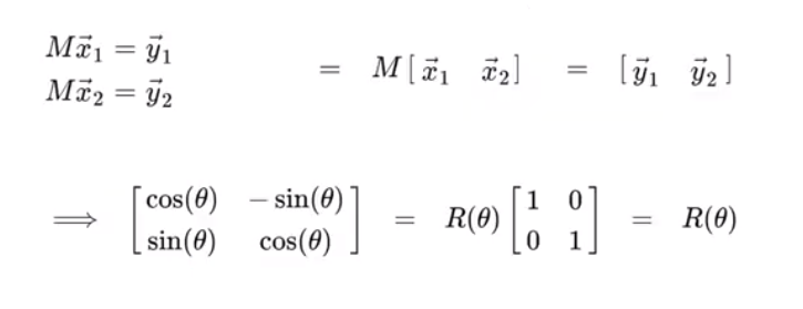
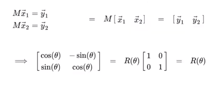
회전변환(Rotation) 행렬 구하기
Rotation matrix : $ M = R(\theta) $
Transformation : $ \hat {y} = R(\theta) \hat {x} $


왼쪽 그림에서
y축은 $ \sin \theta $ 이고,
x축은 $ \cos \theta $ 이다.
y벡터는 $ \sin \theta $ 이고,
x벡터는 $ \cos \theta $ 이다.
오른쪽 그림에서
y축은 $ \cos \theta $ 이고,
x축은 $ -\sin \theta $ 이다.
다음을 참고하면 이해하기 쉽다.
OP = r=1 이면 P(x, y)는 반지름의 길이가 1인 단위원위에 그려지며
삼각함수 정의에 의해 $ \sin \theta = \frac {y} {r} = y, \cos \theta = \frac {x} {r} = x $ 이다.

왼쪽항
임의의 $ \hat {x_{1}} $ 가 특정한 회전변환(M)에 의해서 $ \hat {y_{1}} $ 로 가고,
임의의 $ \hat {x_{2}} $ 가 특정한 회전변환(M)에 의해서 $ \hat {y_{2}} $ 로 갔다.
오른쪽항
하나로 합치면 $ M[\hat {x_{1}} \hat {x_{2}}] $ 이다.
$ R(\theta) $ 오른쪽에 있는 행렬은 단위행렬이라 곱해도 같다.

Stretch / Compress 행렬 구하기
방향을 유지하면서 늘렸다 줄였다 하는 행렬


삼각함수의 정의와 그래프 그리기
중3 때, 직각삼각형에서 두 변의 비, 삼각비에 대해 배웁니다. 사인은 빗변과 높이의 비로 sinα=...
blog.naver.com
https://www.youtube.com/watch?v=q2xvT-ro43A
'머신러닝과 딥러닝' 카테고리의 다른 글
| 최적화와 볼록최적화(Optimization and Convex Optimization) (0) | 2019.12.30 |
|---|---|
| 벡터의 크기와 직교성 (0) | 2019.12.30 |
| Doc2Vec 공간의 이해 (0) | 2019.12.29 |
| 행렬식의 의미 (0) | 2019.12.23 |
| 고유벡터와 고유값 (0) | 2019.12.23 |