다원 일차 연립방정식 (System of Linear Equations)
3가지 종류가 있다.
1) Well-determined linear systems
2) Under-determined linear systems
3) Over-determined linear systems
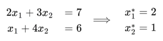
Well-determined linear systems
다원일차연립방정식에서...다음과 같은 문제
unknowns(미지수)가 2개, equations(constraints)가 2개
미지수를 계산할 수 있음. 단순하게 연립방정식으로~
기하학적 의미는 다음과 같다.
2개의 직선의 방정식이다.
이 직선의 방정식에 있는 모든 점들은 해당 방정식의 해가 된다.
두가지 직선의 방정식을 만나는 해 = 교점
직선들이 있으면 유니크하게...해가 있다.
unknowns와 equations수가 같을 때, unique한 해가 존재한다.
이것을 Well-determined linear systems이라 한다.
unique한 해가 존재한다는 것은 $A$의 역행렬이 존재한다는 것이다.
$A$의 역행렬이 존재한다는 것은 직선들이 평행하지 않다는 의미이다.
Under-determined linear systems
다원 일차 연립방정식에서 다음과 같다.
unknowns가 2개고 const가 1개 일때 아래와 같은 직선의 방정식.
해가 무수히 많다.
under-determined linear systems는 unknowns의 개수가 const보다 많다.
유니크하지 않다.
기하학적으로는...아래와 같다.
일반화 하면 다음과 같다.
행렬로 표현할 수 있다는 것이 아니고...
A라는 행렬도 표현했을때 A의 모양이 중요하다.
미지수가 더 많기 때문에 A 행렬이 fat하다고 한다.
Over-determined linear systems
미지수가 2개이지만 constraints가 3개이다.
직선을 세 개 다 만족하는 곳을 찾는 것인데... 답이 없다 !
기하학적으로는 다음과 같다.
미지수의 개수보다 constraints가 더 많은 경우를 Over-Determined Linear Systems이라 한다.
행렬 A에서
칼럼의 갯수는 미지수와 같고...
로우의 갯수는 constraint와 같다.
가장 관심이 있는 문제는 Over-determined한 것이다. (행렬A가 skinny)
머신러닝과 가장 관련이 있음.
찾고 싶어하는 unknowns보다 constraints가 많다.
가장 근사한 x를 찾을 수는 있음.
솔루션이 존재하지 않고...가장 근사한 값을 찾을 수 있다라고 생각하면 된다.
'머신러닝과 딥러닝' 카테고리의 다른 글
로지스틱 리그레션(Logistic Regression) (0) | 2020.01.02 |
---|---|
최소자승법과 직교투영 (0) | 2019.12.31 |
CVXPY를 사용한 최적화 문제 풀기 (2) (0) | 2019.12.31 |
CVXPY를 사용한 최적화 문제 풀기 (1) (0) | 2019.12.30 |
최적화 문제 풀기 (0) | 2019.12.30 |