최소자승법이라는 것은 Least Squares Solution이다.
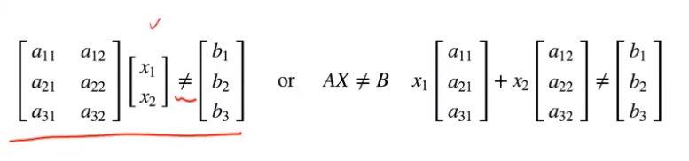
다원일차연립방정식에서 Over-determined linear system은 해가 존재하지 않는다.

찾고싶어하는 미지수를 $ x_{1}, x_{2} $로 둔다.
coefficient로 두고 벡터들을 span한다.
해가 존재하지 않으니까 찾을 수 없다가 끝이 아니다.
해는 없지만... 가장 근사하는 $ x_{1}, x_{2} $은 무엇인가? 가 포인트이다.
선형결합하는 하나의 벡터 $ Ax $
우변에 주어진 벡터 $b$
두 개의 차이 $ Ax - b $ 이 또한 하나의 벡터가 된다. 에러 벡터라고 불러도 된다.
최소로 한다는 것은
벡터에서 그 크기를 정의하는 것을 norm으로 배웠다.

norm을 최소로 하게 하는 x를 찾는 문제로 바꾸자.
최적화 문제 해를 찾는 것을 최소자승법이라고 한다.
이것의 기하학적 의미는 다음과 같다.

$ \vec {A_{1}}, \vec {A_{2}} $ 벡터는 아래와 같다.
$ B $ 는 일반적으로 이 평면상에 존재하지않는 다른 3차원 공간상의 벡터일 것이다.
$ \vec {A_{1}}$ 와 $ \vec {A_{2}} $가 선형결합된 무수한 벡터들이 평면상에 많이 존재 할 텐데
우리가 관심있는 것은 에러를 최소로 하는...
l2 norm의 제곱
기하학적으로 봤을 때 수선의 발을 내린 지점이 최소가 된다.
평면에 투영한다.

투영을 어떻게 하는가?
직교투영
$ \vec {X}, \vec {Y} $가 주어져있을 때,
$ \vec {X}$를 Y축으로 투영을 시킬때 벡터를 $ \vec {W} $라 하겠다.

빨간선이 최소가 되는 지점은 90도 일때다.
$ \vec {X} - \vec {W} $와 $ \vec {Y} $가 수직이다.
수직이라는 것은
벡터의 내적이 0이라는 것이고
행렬에서는 트랜스포즈와 같은 것이다.
$ \vec {W} $는 방향은 정해져있음 $ \vec {Y} $와 같다.
방향성을 가지고 크기로 나누어서 방향만 가지는 유닛벡터라고 생각할 수 있다.
새로운 $ \omega $ 오메가 스칼라를 정의한다.

찾고 싶은 것은 오메가를 찾고 싶은 것
결국 X,Y가 주어졌을때
X를 Y 직교 투영했을때 위와 같이 찾을 수 있다.
벡터와 벡터의 내적이기 때문에 하나의 숫자이다.
$ W= \frac { Y^T X } { Y^T Y } Y = \frac { \langle X,Y \rangle } { \langle Y,Y \rangle} Y $
맨 오른쪽 변에서
$ \omega $ (오메가)는 $ \vec {Y} $ 와 방향성이 같다
$ \vec {Y} $ 의 stretch/compress라고 보면된다.
$ \frac {\langle X, Y \rangle }{\langle Y,Y \rangle} $ 의 기하학적의미가 무엇이냐?
X와 Y의 inner product
Y와 Y의 inner product
X와 Y의 inner product -> X와 Y가 얼마나 유사한지를 나타내는 정도라고 표현할 수 있다.
X가 Y와 같다면 1이 되어버린다.
'머신러닝과 딥러닝' 카테고리의 다른 글
| 퍼셉트론(Perceptron) (1) (0) | 2020.01.04 |
|---|---|
| 로지스틱 리그레션(Logistic Regression) (0) | 2020.01.02 |
| 다원 일차 연립방정식 (0) | 2019.12.31 |
| CVXPY를 사용한 최적화 문제 풀기 (2) (0) | 2019.12.31 |
| CVXPY를 사용한 최적화 문제 풀기 (1) (0) | 2019.12.30 |